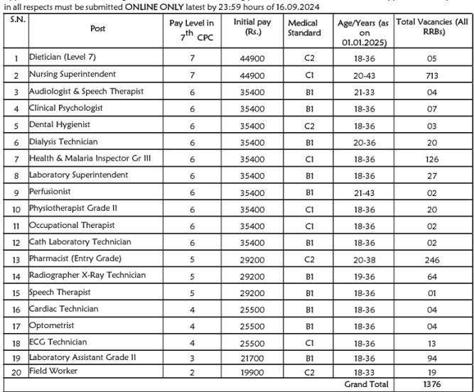
RRB Paramedical Staff Recruitment 2024: भारतीय रेल्वेने RRB पॅरामेडिकल स्टाफ भरती २०२४ ची घोषणा केली आहे, ज्याची ऑनलाइन अर्ज प्रक्रिया १७ ऑगस्ट २०२४ रोजी सुरू होणार आहे. या भरती मोहिमेमध्ये विविध पॅरामेडिकल पदांवर १,३७६ रिक्त जागा भरण्याचे उद्दिष्ट आहे. इच्छुक उमेदवार १६ सप्टेंबर २०२४ पर्यंत अर्ज करू शकतात. भरती प्रक्रिया, महत्त्वाच्या तारखा, रिक्त जागा, अर्ज शुल्क आणि अधिक तपशीलवार माहिती जाणून घ्या.
RRB Paramedical Staff Recruitment 2024: महत्त्वाच्या तारखा
- अर्ज सुरू करण्याची तारीख: १७ ऑगस्ट २०२४
- अर्जाची शेवटची तारीख: १६ सप्टेंबर २०२४
- परीक्षेची तारीख: नंतर सूचित केले जाईल

RRB Paramedical Staff Recruitment 2024: वयोमर्यादा
वयोमर्यादेत शिथीलता (Age Relaxation)
- SC/ST उमेदवार: ५ वर्ष
- ओबीसी (नॉन-क्रिमी लेयर) उमेदवार: ३ वर्षे
- माजी सैनिक (UR आणि EWS): ३ वर्षे (सेवा कपातीनंतर)
- PwBD उमेदवार: श्रेणीनुसार १० ते १५ वर्षे
- महिला उमेदवार (विधवा/घटस्फोटित/विभक्त): ४० वर्षांपर्यंत
सध्या गट ‘क’ किंवा पूर्वीच्या गट ‘डी’ रेल्वे कर्मचाऱ्यांमध्ये किमान ३ वर्षे सेवा असलेले उमेदवार देखील उच्च वयोमर्यादेत सूट मिळण्यास पात्र आहेत.
हेही वाचा – BMC Bharti 2024: मुंबई महापालिकेद्वारे होणार ‘या’ पदांसाठी भरती! दर महिना ६०,००० मिळू शकतो पगार
RRB Paramedical Staff Recruitment 2024: भरती प्रक्रिया
RRB पॅरामेडिकल स्टाफ भरती २०२४ साठी निवड प्रक्रियेत खालील टप्पे आहेत:
१)संगणक-आधारित चाचणी (CBT): पहिला टप्पा CBT आहे, जो उमेदवारांच्या ज्ञान आणि कौशल्यांचे मूल्यांकन करण्यासाठी आयोजित केला जाईल. या चाचणीमध्ये व्यावसायिक क्षमता, सामान्य जागरूकता, अंकगणित, सामान्य बुद्धिमत्ता आणि तर्क आणि सामान्य विज्ञान यासह विविध विभागांचा समावेश असेल.
२) स्तऐवज पडताळणी: CBT उत्तीर्ण झालेल्या उमेदवारांना त्यांची पात्रता आणि क्रेडेन्शियल्सची पुष्टी करण्यासाठी दस्तऐवज पडताळणीसाठी बोलावले जाईल.
३)वैद्यकीय परीक्षा: उमेदवारांनी पदांसाठी आवश्यक असलेल्या शारीरिक मानकांची पूर्तता केली आहे याची
खात्री करण्यासाठी अंतिम टप्प्यात वैद्यकीय तपासणीचा समावेश होतो.
RRB Paramedical Staff Recruitment 2024: अधिसुचना – https://www.rrbcdg.gov.in/uploads/202404/Detailed%20CEN%2004-2024%20Paramedical.pdf
RRB Paramedical Staff Recruitment 2024: संगणक-आधारित चाचणी तपशील:
परीक्षेचा कालावधी १०० प्रश्नांसह ९०मिनिटांचा असेल. लेखक सुविधा वापरणाऱ्या PwBD उमेदवारांसाठी, कालावधी १२० मिनिटे असेल. चुकीच्या उत्तरांसाठी निगेटिव्ह मार्किंग असेल, प्रत्येक चुकीच्या उत्तरासाठी वाटप केलेल्या १/३ गुणांची वजा केले जातील.
RRB Paramedical Staff Recruitment 2024: अर्ज शुल्क
- सामान्य/OBC/EWS उमेदवार: ५०० (CBT दिल्यावर परत करण्यायोग्य रुपये ४००)
- SC/ST/माजी सैनिक/PwBD/महिला/ट्रान्सजेंडर/EBC: रु २५० (CBT दिल्यावर परतावा मिळेल)
अर्ज शुल्काच्या परताव्यासाठी पात्र होण्यासाठी उमेदवारांनी CBT मध्ये उपस्थित राहणे आवश्यक आहे.
भरती प्रक्रिया स्पर्धात्मक असेल आणि उमेदवारांना CBT साठी पूर्ण तयारी करण्याचा सल्ला दिला जातो. अधिक तपशीलांसाठी आणि अर्ज करण्यासाठी, अधिकृत RRB भरती वेबसाइटला भेट द्या.
भारतीय रेल्वेच्या पॅरामेडिकल सेवांमध्ये करिअर करू इच्छिणाऱ्या व्यक्तींसाठी ही भरती मोहीम एक महत्त्वाची संधी देते. सर्वसमावेशक तपशिलांसाठी अधिकृत अधिसूचना तपासण्याची खात्री करा आणि रेल्वे भरती मंडळाच्या कोणत्याही घोषणांसह अपडेट रहा.